SOLUTION: Change the rational equation to quadratic form and solve it by the most efficient method. (Enter your answers as a comma-separated list.) 1 x − 1 + 1 x − 5

Algebra ->  College  -> Linear Algebra -> SOLUTION: Change the rational equation to quadratic form and solve it by the most efficient method. (Enter your answers as a comma-separated list.) 1 x − 1 + 1 x − 5       Log On


   



Question 785183: Change the rational equation to quadratic form and solve it by the most efficient method. (Enter your answers as a comma-separated list.)

1
x − 1
+
1
x − 5
=
3
8

Answer by KMST(5328) About Me  (Show Source):
You can put this solution on YOUR website!
Maybe the question was
1%2F%28x-1%29%2B1%2F%28x-5%29=3%2F8 which can be typed as 1/(x-1)+1/(x-5)=3/8

1%2F%28x-1%29%2B1%2F%28x-5%29=3%2F8
Multiplying both sides by 8%28x-1%29%28x-5%29 to eliminate all denominators, we get
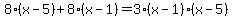
8%28x-1%29%28x-5%29%281%2F%28x-1%29%2B1%2F%28x-5%29%29=8%28x-1%29%28x-5%29%283%2F8%29
8%28x-1%29%28x-5%29%2F%28x-1%29%2B8%28x-1%29%28x-5%29%2F%28x-5%29=8%28x-1%29%28x-5%293%2F8
8%28x-5%29%2B8%28x-1%29=3%28x-1%29%28x-5%29
8x-40%2B8x-8=3%28x%5E2-6x%2B5%29
16x-48=3x%5E2-18x%2B15
0=3x%5E2-18x%2B15-16x%2B48
3x%5E2-34x%2B63=0

Armed with a calculator, using the quadratic formula is the most efficient method.
(With only pencil and paper, I would try factoring or completeing the square).
Since the answer was obviously formatted to be entered into a computer directly, a calculator (or equivalent) was available.

x=+%28-%28-34%29+%2B-+sqrt%28%28-34%29%5E2-4%2A3%2A63+%29%29%2F%282%2A3%29+
x=+%2834+%2B-+sqrt%281156-756%29%29%2F6
x=+%2834+%2B-+sqrt%28400%29%29%2F6
x=+%2834+%2B-+20%29%2F6
The solutions are:
x%5B1%5D=+%2834+-+20%29%2F6=14%2F6=highlight%287%2F3%29 and
x%5B1%5D=+%2834+%2B+20%29%2F6=54%2F6=highlight%289%29

I would enter the answers as 7/3,9 and hope the computer accepts that.
{Format can be an issue for some small scale online courses).