SOLUTION: Hello! I am not sure I have posted this question in the correct topic, but I wasn't sure where else to put it. I need to find: d/dx [-1/1+x²] I have got as far as: d/dx [-

Algebra ->  College  -> Linear Algebra -> SOLUTION: Hello! I am not sure I have posted this question in the correct topic, but I wasn't sure where else to put it. I need to find: d/dx [-1/1+x²] I have got as far as: d/dx [-      Log On


   



Question 772394: Hello!
I am not sure I have posted this question in the correct topic, but I wasn't sure where else to put it.
I need to find: d/dx [-1/1+x²]
I have got as far as: d/dx [-1(1+x²]power -1
But not sure how to solve from here..
Can you please show all working.
Thank-you.

Answer by josgarithmetic(39620) About Me  (Show Source):
You can put this solution on YOUR website!
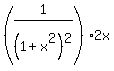
You are really asking for %28d%2Fdx%29+%28%28-1%29%2F%281%2Bx%5E2%29%29

=
= %281%2F%281%2Bx%5E2%29%5E2%29%2A2x
%282x%29%2F%281%2Bx%5E2%29%5E2