SOLUTION: Solve equations for x: 15x5 -20x4 =6x3 -8x2 Determine the derivative of the following functions using positve exponents whenever necessary: f(x) = In(3x4 + 4x3 + 6x2) f(x

Algebra ->  College  -> Linear Algebra -> SOLUTION: Solve equations for x: 15x5 -20x4 =6x3 -8x2 Determine the derivative of the following functions using positve exponents whenever necessary: f(x) = In(3x4 + 4x3 + 6x2) f(x      Log On


   



Question 153230: Solve equations for x:
15x5 -20x4 =6x3 -8x2
Determine the derivative of the following functions using positve exponents whenever necessary:
f(x) = In(3x4 + 4x3 + 6x2)
f(x) = e2x tan x

Answer by Edwin McCravy(20065) About Me  (Show Source):
You can put this solution on YOUR website!
Solve equations for x:
15x%5E5+-20x%5E4+=6x%5E3+-8x%5E2

15x%5E5+-20x%5E4+-6x%5E3+%2B8x%5E2=0

x%5E2%2815x%5E3+-20x%5E2+-6x+%2B8%29=0

x%5E2%285x%5E2%283x-4%29-2%283x-4%29%29=0

x%5E2%28%283x-4%29%285x%5E2-2%29%29=0

x%5E2%283x-4%29%285x%5E2-2%29=0

x%5E2=0, 3x-4=0, 5x%5E2-2=0

  x=0,  x=4%2F3, 5x%5E2=2
                 x%5E2=2%2F5
                 xsqrt%282%2F5%29                               
                 xsqrt%28%282%2A5%29%2F%285%2A5%29%29                 
                 xsqrt%2810%2F25%29
                 xsqrt%2810%29%2F5          
Determine the derivative of the following 
functions using positve exponents whenever 
necessary:

f%28x%29+=+ln%283x%5E4+%2B+4x%5E3+%2B+6x%5E2%29

Use the formula:

d%2F%28dx%29ln%28u%29+=+%28du%2Fdx%29%2Fu

With u=%283x%5E4+%2B+4x%5E3+%2B+6x%5E2%29
     du%2F%28dx%29=12x%5E3%2B12x%5E2%2B12x


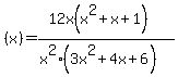
f'%28x%29+=+%2812x%5E3+%2B+12x%5E2+%2B+12x%29%2F%283x%5E4+%2B+4x%5E3+%2B+6x%5E2%29

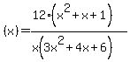
f'%28x%29+=+%2812x%28x%5E2+%2B+x+%2B+1%29%29%2F%28x%5E2%283x%5E2+%2B+4x+%2B+6%29%29

f'%28x%29+=+%2812%28x%5E2+%2B+x+%2B+1%29%29%2F%28x%283x%5E2+%2B+4x+%2B+6%29%29

----------------

f%28x%29+=+e%5E%282x%29tan%28x%29

Use these formulas:

d%28uv%29%2F%28dx%29=u%28dv%2Fdx%29%2Bv%28du%2Fdx%29

d%28e%5Eu%29%2F%28dx%29=+%28e%5Eu%29%28du%2Fdx%29

d%28tan%28u%29%29%2F%28dx%29=+%28sec%5E2u%29%28du%2Fdx%29

u=e%5E%282x%29
%28du%29%2Fdx=%28e%5E%282x%29%292
%28du%29%2Fdx=2e%5E%282x%29

v=tan%28x%29
%28dv%29%2Fdx=%28sec%5E2x%291
%28dv%29%2Fdx=sec%5E2x
f%28x%29+=+e%5E%282x%29tan%28x%29
f'%28x%29+=+e%5E%282x%29sec%5E2x%2Btan%28x%29%2A2e%5E%282x%29
f'%28x%29+=+e%5E%282x%29sec%5E2x%2B2tan%28x%29e%5E%282x%29
f'%28x%29+=+e%5E%282x%29%28sec%5E2x%2B2tan%28x%29%29

Edwin