SOLUTION: Let A= [−47 −90 ; 27 52]. Find S, D, and S^−1 such that A=SDS^−1

Algebra ->  College  -> Linear Algebra -> SOLUTION: Let A= [−47 −90 ; 27 52]. Find S, D, and S^−1 such that A=SDS^−1      Log On


   



Question 1161345: Let A= [−47 −90 ; 27 52].
Find S, D, and S^−1 such that A=SDS^−1

Answer by Edwin McCravy(20081) About Me  (Show Source):
You can put this solution on YOUR website!
Let A= [−47 −90 ; 27 52].
Find S, D, and S^−1 such that A=SDS^−1
We diagnalize the matrix:

matrix%281%2C3%2CA%2C%22%22=%22%22%2C%0D%0A%28matrix%282%2C2%2C-47%2C-90%2C27%2C52%29%29%29

We find the eigenvalues

abs%28matrix%282%2C2%2C-47-lambda%2C-90%2C27%2C52-lambda%29%29%29%22%22=%22%220

%28-47-lambda%29%2852-lambda%29-%28-90%29%2827%29=0

-2444-5lambda%2Blambda%5E2%2B2430=0

lambda%5E2-5lambda-14=0

%28lambda-7%29%28lambda%2B2%29=0

 λ-7=0;  λ+2=0   
   λ=7;   λ=-2

by writing A as 

matrix%281%2C3%2CA%2C%22%22=%22%22%2CSDS%5E%28-1%29%29

where D is the diagonal matrix with the two eigenvalues on the 
main diagonal:

D+=+%28matrix%282%2C2%2C7%2C0%2C0%2C-2%29%29

and the matrix S is 

S=%28matrix%281%2C2%2CV%5B1%5D%2CV%5B2%5D%29%29

where the V's are the two column eigenvectors for the two eigenvalues

We find V1 which is the eigengvector for the eigenvalue λ=7.

We find solutions for

%28A-7I%29X=0





-54x%5B1%5D-90x%5B2%5D=0
Divide thru by -18
3x%5B1%5D%2B5x%5B2%5D=0
3x%5B1%5D=-5x%5B2%5D

We can take x1=1 and x1=1

So 

v%5B1%5D=%28matrix%282%2C1%2C-5%2C3%29%29

Now we do the same for the other eigenvalue

---

We find solutions for

%28A%2B2I%29X=0





-45x%5B1%5D-90x%5B2%5D=0
Divide thru by -45
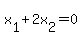
x%5B1%5D%2B2x%5B2%5D=0
x%5B1%5D=-2x%5B2%5D

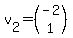
We can take x1=1 and x2=1

So 

v%5B2%5D=%28matrix%282%2C1%2C-2%2C1%29%29

So

S=%28matrix%282%2C2%2C-5%2C3%2C-2%2C1%29%29

And since the determinant of S is 1, to find S-1 we only
need to swap the elements on the the main diagonal and change the
signs of the other two elements"

S%5E%28-1%29=%28matrix%282%2C2%2C1%2C2%2C-3%2C-5%29%29

Then 

A=SDS%5E%28-1%29



Edwin