SOLUTION: f(x) = 2x^2 + 12x + 15 Rewrite in f(x) = a(x − h)^2 + k form.

Algebra ->  College  -> Linear Algebra -> SOLUTION: f(x) = 2x^2 + 12x + 15 Rewrite in f(x) = a(x − h)^2 + k form.       Log On


   



Question 1141304: f(x) = 2x^2 + 12x + 15
Rewrite in f(x) = a(x − h)^2 + k form.

Answer by josgarithmetic(39631) About Me  (Show Source):
You can put this solution on YOUR website!
Complete The Square and adjust the form to the one you want.

f%28x%29=ax%5E2%2Bbx%2Bc
a%28x%5E2%2B%28b%2Fa%29x%29%2Bc
a%28x%5E2%2B%28b%2Fa%29x%2B%28b%2F2a%29%5E2-%28b%2F2a%29%5E2%29%2Bc
a%28%28x%2B%28b%2F%282a%29%29%29%5E2-%28b%2F2a%29%5E2%29%2Bc
a%28x%2B%28b%2F%282a%29%29%29%5E2-%28b%2F%284a%29%29%2Bc
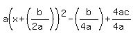
a%28x%2B%28b%2F%282a%29%29%29%5E2-%28b%2F%284a%29%29%2B4ac%2F%284a%29
highlight%28a%28x%2B%28b%2F%282a%29%29%29%5E2%2B%284ac-b%29%2F%284a%29%29


You can now follow that as a formula.
Comparing to a%28x-h%29%5E2%2Bk,
system%28h=-b%2F%282a%29%2Ck=%284ac-b%29%2F%284a%29%29