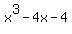
SOLUTION: y=x^4 - x^3 -4x^2 +4. find factor and graph. I only factor to this step: (x^3 - 4x-4)(x-1) = y but i don't know how to continue this step to require factor more. Please help

Algebra ->  College  -> Linear Algebra -> SOLUTION: y=x^4 - x^3 -4x^2 +4. find factor and graph. I only factor to this step: (x^3 - 4x-4)(x-1) = y but i don't know how to continue this step to require factor more. Please help      Log On


   



Question 1009650: y=x^4 - x^3 -4x^2 +4. find factor and graph.
I only factor to this step:
(x^3 - 4x-4)(x-1) = y
but i don't know how to continue this step to require factor more. Please help. this is algebra 2. Thank you.

Found 2 solutions by josgarithmetic, MathTherapy:
Answer by josgarithmetic(39623) About Me  (Show Source):
You can put this solution on YOUR website!
You would be interested in grouping, or movement of terms to try to factorize, if for Algebra 2.

You just need to try different placements of the terms.
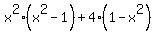
x%5E2%28x%5E2-1%29%2B4-4x%5E2
x%5E2%28x%5E2-1%29%2B4%281-x%5E2%29
Notice the two factors which appear very much alike but are not equal!
Trick is multiply the second expression by -1, TWICE.
x%5E2%28x%5E2-1%29%2B%28-1%294%28-1%29%281-x%5E2%29
x%5E2%28x%5E2-1%29-4%28x%5E2-1%29
Factor the whole expression.
%28x%5E2-1%29%28x%5E2-4%29
Observe, two quadratic factors according to difference of squares.
highlight%28%28x-1%29%28x%2B1%29%28x-2%29%28x%2B2%29%29

Answer by MathTherapy(10555) About Me  (Show Source):
You can put this solution on YOUR website!

y=x^4 - x^3 -4x^2 +4. find factor and graph.
I only factor to this step:
(x^3 - 4x-4)(x-1) = y
but i don't know how to continue this step to require factor more. Please help. this is algebra 2. Thank you.
Are you sure it's not: y+=+x%5E4+-+x%5E3+-+4x%5E2+%2B+4x? 
You're correct in that x - 1 is a factor of the polymomial you presented. However, x%5E3+-+4x+-+4 cannot be factored further.
It can be though, if an "x" at the end (+ 4x), is missing.