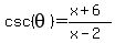
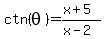
Question 504051: if cscθ=(x+6)/(x-2) and ctnθ=(x+5)/(x-2) then what is the value of θ
I have been working on this problem for an hour, and I am not sure how to do it. Thankyou for your help!
Answer by bucky(2189) (Show Source):
You can put this solution on YOUR website! You'll have to do a little visualizing here. Picture an angle in the first quadrant. One side of the angle starts at the origin and its length is measured along the x-axis. This side is often called the adjacent side of the angle. The other side of the angle is formed by the radial that starts at the origin and extends outward like the radius of a circle. The angle (in this problem it is called theta is the angle measured from the x-axis to this radial. A third side related to this problem is often called the opposite side (that is opposite of the angle). It is the vertical side and it is measured vertically up from the x-axis to the point where it intersects the radial.
.
In the way of definition of trigonometric functions, the cosecant (csc) is defined as the ratio of the radial divided by the opposite side. (Note that this is the inverse of the sine function.) You were given that the cosecant ratio is:
.

.
I hope this helps you understand this problem better. Check my work carefully to ensure that I didn't make a dumb mistake somewhere. The basic methodology should be correct.
.
Since we have established that the cosecant ratio is:
.

.
by comparison we can say that the radial or numerator equals (x + 6) and the side vertical opposite side (the denominator) equals (x - 2). We now have the dimensions of two of the sides of this right triangle.
.
Next you are told that the cotangent ratio is:
.

.
The cotangent function is defined as the adjacent side divided by the opposite side. Therefore, we can tell that the adjacent side (numerator) is (x + 5) and the opposite side (denominator) is (x - 2) which is something that we already knew from the cosecant ratio.
.
So we now have all three sides of the triangle. The radial (hypotenuse) is (x + 6), one leg (the opposite side) is (x - 2), and the other leg (adjacent side) is (x + 5).
.
Here comes the fun part. Let's use the Pythagorean theorem on this triangle. From it we know that the sum of the squares of the two legs equals the square of the hypotenuse. Using the fact that the two legs are the opposite side and adjacent side and the radial is the hypotenuse, we can write the Pythagorean equation as:
.

.
Square all the terms and you get:
.

.
You obviously are far enough along in math that you can collect the terms and arrange them in the general form of a quadratic equation. If you do, unless I made a dumb error, you should wind up with:
.

.
This can be factored to:
.

.
Which means the two possible solutions are x = +7 or x = -1. Looks as if we get two answers for theta.
.
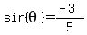
If x = +7, you can substitute this into the three sides of the hypotenuse (x + 6), the adjacent side (x + 5), and the opposite side (x - 2) and you get 13, 12, and 5 respectively. Just for grins, let's put the opposite side over the hypotenuse (which is the definition of sine) and we get:
.

.
Divide the 13 into 5 and you get 0.384615384
.
So you now know:
.

.
Use your calculator to determine the and you get 22.61986495 degrees. Notice that since all the sides have a positive value, this angle must be in the first quadrant.
.
But we have a second possibility. The value of x could be -1. This being the case, substitute -1 for x in the three sides and you get sides that are hypotenuse = 5, adjacent side = 4, and opposite side = -3. Because the adjacent side is positive and the opposite side is negative, this solution has to lie in Quadrant IV. Again use the sine function (because the opposite side is negative) to give you:
.

.
This reduces to:
.

.
Notice that the value of the cosine (which is adjacent divided by hypotenuse) is positive, and this validates a Quadrant IV solution since the only quadrant in which the cosine is positive and the sine negative is IV.
.
If you find the arcsine of -0.6 you get -36.86989765 degrees. And that should be the second solution. The minus sign indicates the angle is measured counter clockwise from the positive x-axis so it is approximately 36.9 degrees below the x-axis.
.
Hope this helps you to understand the problem. The methodology should be correct, but there's always the chance for some dumb error to have crept in. Check my work carefully. Then you can check by finding the cosecant and cotangent of both angles and see if they don't correspond to the ratios of the sides. Good luck!!!
|
|
|