Question 1107835: Quadrilateral ABCD is an isosceles trapezoid with AB parallel to DC, AC=DC, and AD=BC. If the height h of the trapezoid is equal to AB, find the ratio AB:DC
Answer by greenestamps(13327) (Show Source):
You can put this solution on YOUR website!
I used coordinate geometry to solve the problem; there are certain to be other paths, possibly much easier....
Let points C and D be C(0,0) and D(1,0).
Consider the arc in the first quadrant of the circle with center C and radius CD. To make AC=DC, point A must be somewhere on that arc.
The requirement is that the height h of the trapezoid be equal to the length of base AB; so we need to find the coordinates of the point A on the arc such that the y coordinate (the height of the trapezoid) is equal to the length of base AB.
Let h be the height of the trapezoid.
By symmetry, the midpoint of base AB will have coordinates (0.5,h).
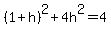
Again by symmetry, the coordinates of point A will be (0.5+0.5h,h).
Then since point A is on an arc of a circle with radius 1,





or 
Clearly we need to choose the positive solution.
So h, the length of base AB, is 3/5; then since the length of base CD is 1, the ratio of the lengths of the bases AB:CD is 3:5.
------------------------------------------------------
Having solved the problem by that method, I see that the right triangle formed by AC, DC, and the altitude from A to CD is a 3:4:5 right triangle; that suggests to me another possibly easier solution.
Use the same figure as before; and let BE and AF be altitudes of the trapezoid.
Let CE = DF = x and CD = y. Then in right triangle ACF,



Then




Clearly y=x does not make sense in the problem; so y = 5x.
But that makes the lengths of the sides of right triangle ACF 3x, 4x, and 5x.
And since AB is the height of the trapezoid, the ratio AB:CD of the lengths of bases of the trapezoid is 3x:5x, or 3:5.
Fun problem....!
|
|
|